Primarii din Pui și Crișcior au ales să treacă la PSD, chiar dacă pentru acest lucru au trădat PNL – partidul în numele căruia au fost votați de oameni, iar acum primesc prețul trădării din partea președintelui PSD Hunedoara, Laurențiu Nistor: ZERO lei din Fondul de Rezervă Bugetară.
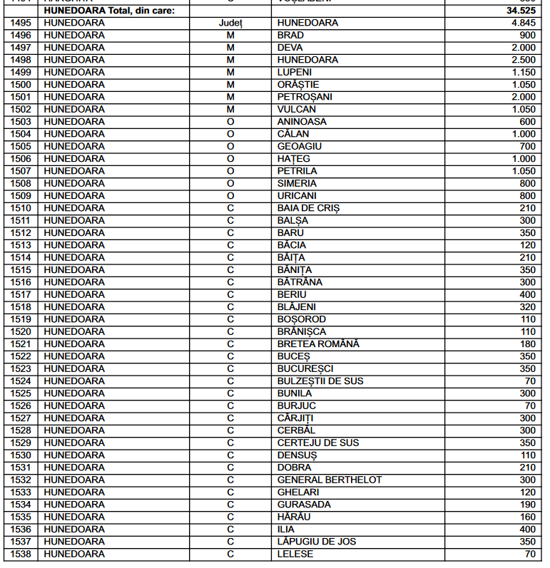
Guvernul a aprobat sumele din Fondul de Rezervă Bugetară, bani alocați ca urmare a propunerilor transmise din teritoriu în funcție de necesitățile administrațiilor publice locale. Crișcior și Pui, comune care până nu de mult au fost beneficiare ale unor sume importante primite din partea Guvernului, au primit de data aceasta fix ZERO lei din FRB.

Nu cu mult timp în urmă, mai precis chiar în Conferința Județeană de Alegeri a PSD Hunedoara cei doi primari au fost anunțați chiar de președintele social – democrat Laurențiu Nistor ca fiind trecuți ”cu arme și bagaje” la PSD, dincolo de lipsa unor adeziuni care ar duce la pierderea mandatelor. Au fost discuții de mai lungă durată între Victor Stoica (Pui) și Ovidiu Furdui (Crișcior) pe de o parte, și Laurențiu Nistor de cealaltă parte, încununate acum cu un mariaj de conjunctură. Numai că Nistor pare să iubească trădarea, dar și pe trădători, și îi lasă pe cei doi edili fără niciun leu pentru comunele lor. Grav este că administrațiile publice din cele două localități vopsite în roșu din orgoliul edililor au mari probleme financiare, iar la Crișcior lucrurile sunt atât de grave, încât se urmărește contractarea unui credit pentru a putea funționa!

Prin această măsură de neînțeles, Laurențiu Nistor și PSD Hunedoara îi pedepsesc pe locuitorii din aceste comune pentru trădarea, culmea în favoarea PSD!, a celor doi primari.
În tot acest timp, alte primării în care primarii aparțin PSD Hunedoara, au primit sume frumoase din FRB. Cam atât despre grija PSD Hunedoara pentru Stoica și Furdui sau pentru oamenii din comunele pe care le conduc administrativ!


Consiliul Județean Hunedoara, condus de Laurențiu Nistor, mai are o șansă să arate că îi pasă de cei doi primari sau de comunele pe care le conduc și să le repartizeze bani din sumele proprii pe care le are la dispoziție, conform art.2 din Hotărârea de Guvern publicată miercuri în Monitorul Oficial. Numai că, acest lucru, ar fi în dezavantajul județului Hunedoara, pentru că și Consiliul Județean Hunedoara are nevoie de cofinanțări urgente pentru proiectele derulate, după cum au precizat în repetate rânduri șefii instituției publice județene. Adică o pedeapsă dublă pentru locuitorii celor două comune, lăsați și fără bani prin hotărârea de Guvern sau fără sprijin dacă CJ Hunedoara își cheltuiește banii nejudicios sau fără să calculeze în beneficiul oamenilor.
Fondul de rezervă bugetară la dispoziția Guvernului este utilizat pentru finanțarea unor cheltuieli urgente sau neprevăzute, ori pentru funcționarea administrațiilor publice.
Carmen COSMAN – PREDA
(Foto: Servus HD)
